• Предмет: Математика
  • Автор: rinata1606
  • Вопрос задан 8 лет назад

Помогите пожалуйста
Решите уравнения
А)2(5-3х)=6-5х
Б)2(1-х)-4(2х+8)=8х+28
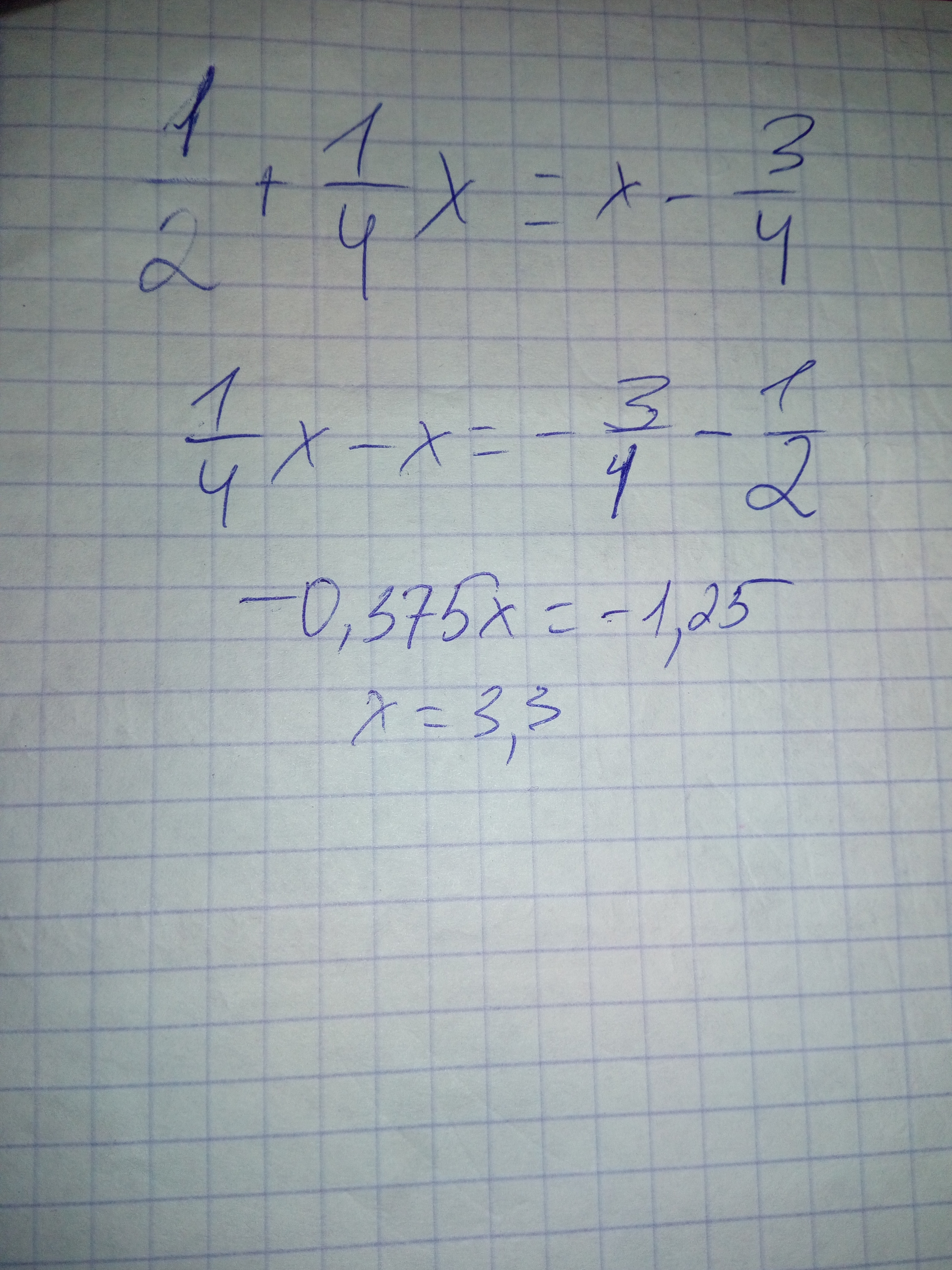
В)1/2+1/4х=х-3/4

Ответы

Ответ дал: Missisdasha
0

а)10-6х=6-5х

-6х+5х=6-10

-х=-4

х=4

б)2-2х-8х-32=8х+28

-2х-8х-8х=28-2+32

-18х=58

х=-3.22

в)0.5+0.25х=х-0.75

0.25х-х=-0.75-0.5

-0.75х=-1.25

х=1.666


Ответ дал: diananew
0

A) 10-6x=6-5x -6x+5x=6-10 -x=-4 X=4 Б) 2-2х-8х-32=8х+28 -10х-30=8х+28 -10х-8х=28+30 -18х=58 Х=(приблизительнр) -3,2 В)

Приложения:
Вас заинтересует