• Предмет: Алгебра
  • Автор: fedor2004fwfwefwe
  • Вопрос задан 8 лет назад

помогите пожалуйста
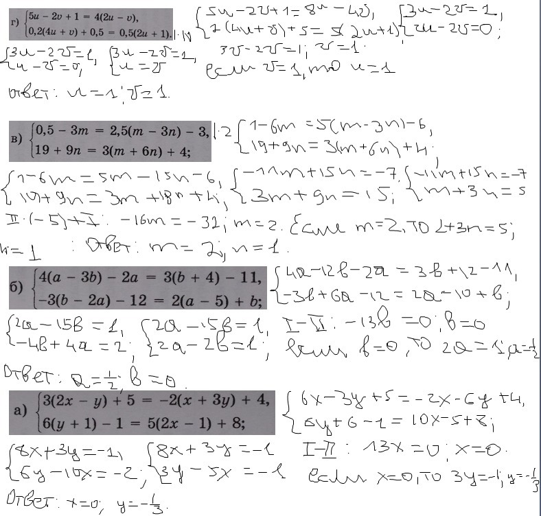
√1264 а,б,в,г

Приложения:

Ответы

Ответ дал: ruslank1460
0

Решение систем во вложении

Приложения:
Ответ дал: fedor2004fwfwefwe
0
спасибо
Ответ дал: fedor2004fwfwefwe
0
огромное
Вас заинтересует