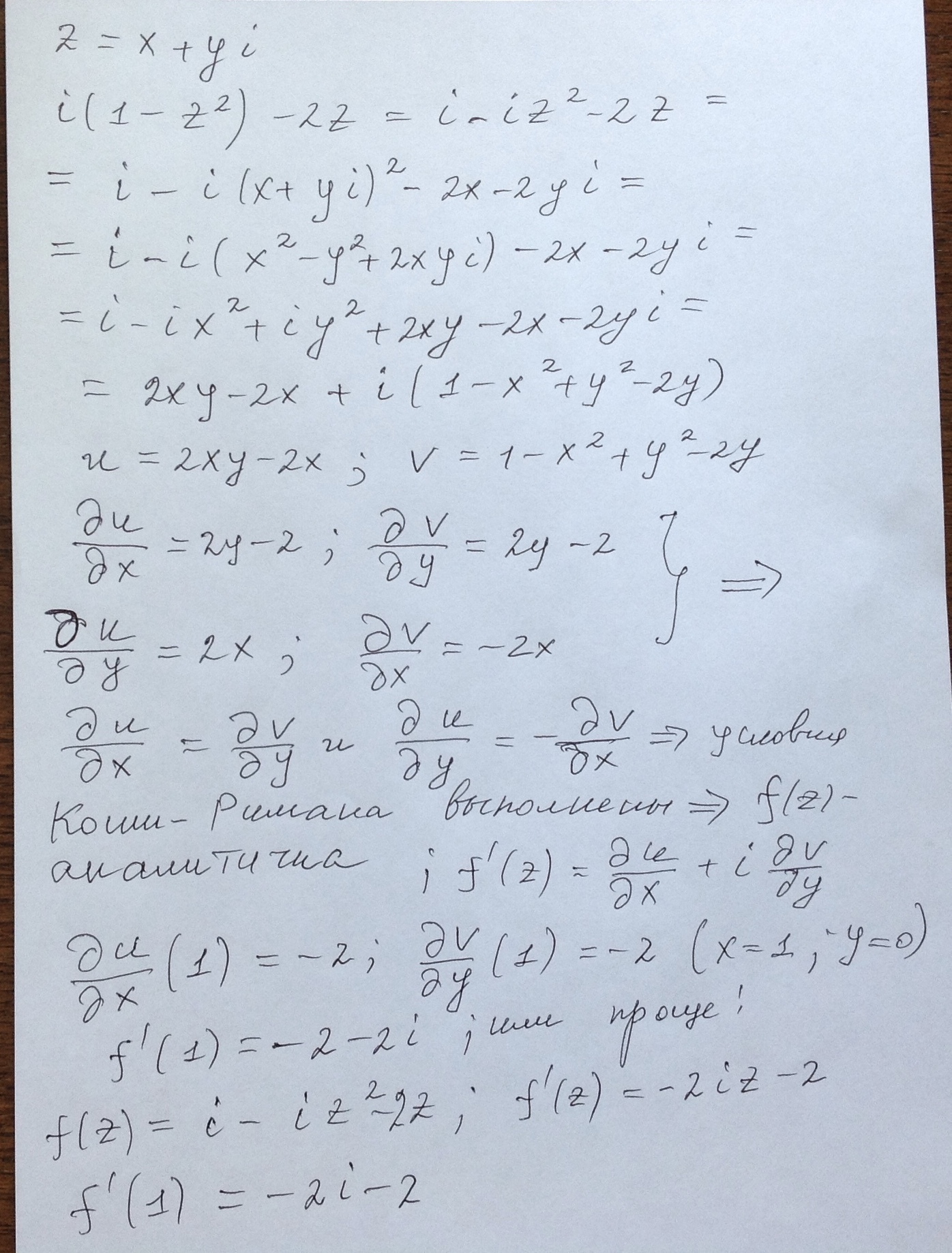
Представить заданную функцию w=f(z), где z=x+iy, в виде w=u(x,y)+iv(x,y), проверить, является ли она аналитической. Если да, то найти значение её производной в заданной точке z0.
w=i*(1-z^2)-2z , z0=1
Ответы
Ответ дал:
0
................................................................................................................
Приложения:

Ответ дал:
0
опять спасибо от меня)
Ответ дал:
0
пожалуйста , но задача опять техническая
Ответ дал:
0
один мой коллега называет подобные примеры рецептурными (решаемые по определенному алгоритму)
Ответ дал:
0
точнее по известному алгоритму
Ответ дал:
0
и это как видите нужно))))
Вас заинтересует
2 года назад
3 года назад
3 года назад
9 лет назад
9 лет назад