• Предмет: Математика
  • Автор: 17vechno
  • Вопрос задан 8 лет назад

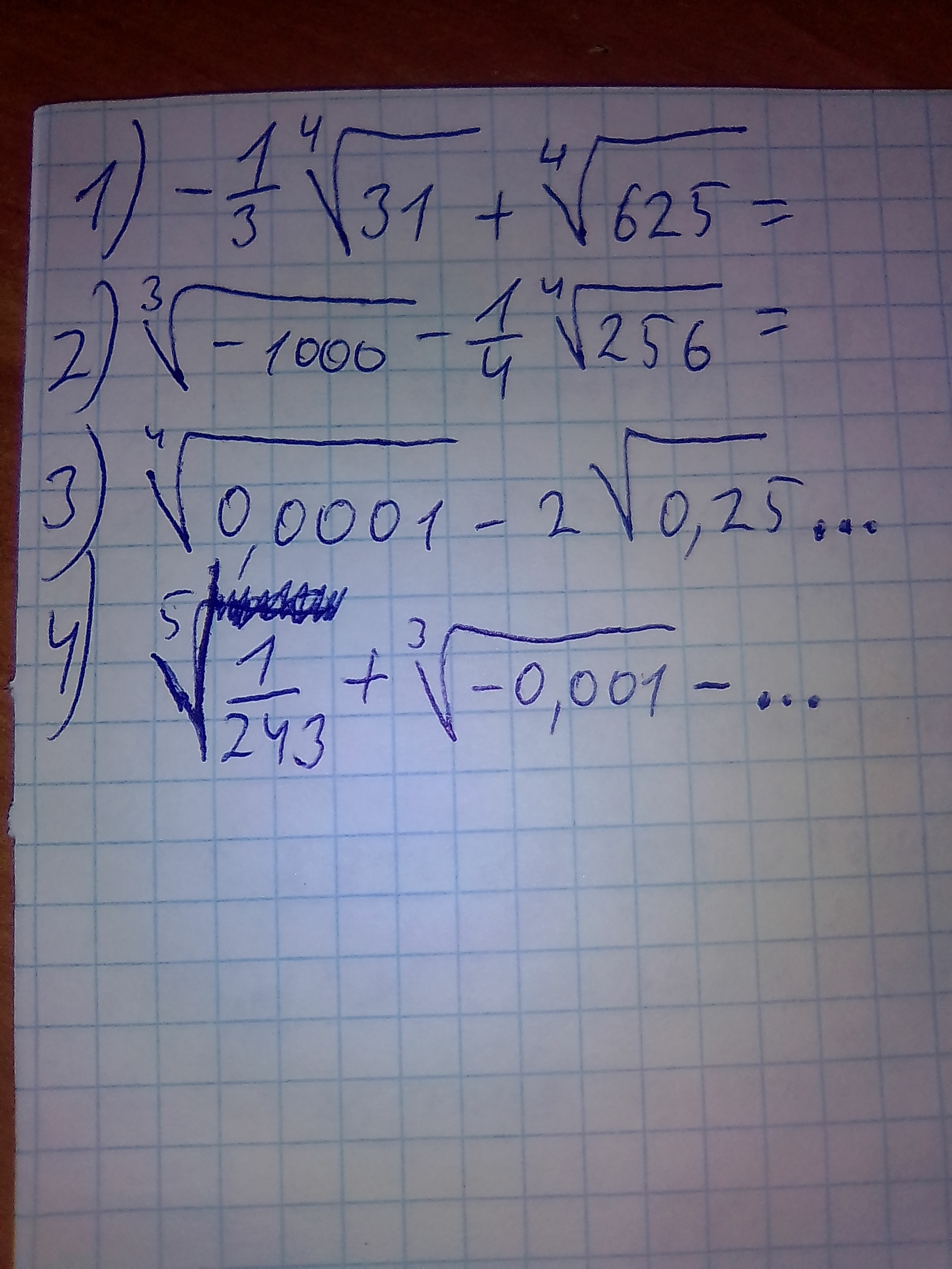
Арифметический корень

Приложения:

Ответы

Ответ дал: xxxeol
0

Исправляем -  не 31, а 81.

1) 81 = 3⁴, 625 = 5⁴

-1/3*3 + 5 = 6 - ОТВЕТ

2)  -1000 = -10³,  256 = 4⁴

-10 - 1/4*4 = - 5 - ОТВЕТ  

3) 0,0001 = 0,1⁴, 0,25 = 0,5²

0,1 - 2*0,5 = 0,1 - 1 = - 0,9

4) 243 = 3⁵

1/5 - 0,1 = 0,1 - ОТВЕТ

Вас заинтересует