• Предмет: Алгебра
  • Автор: FreydZig
  • Вопрос задан 8 лет назад

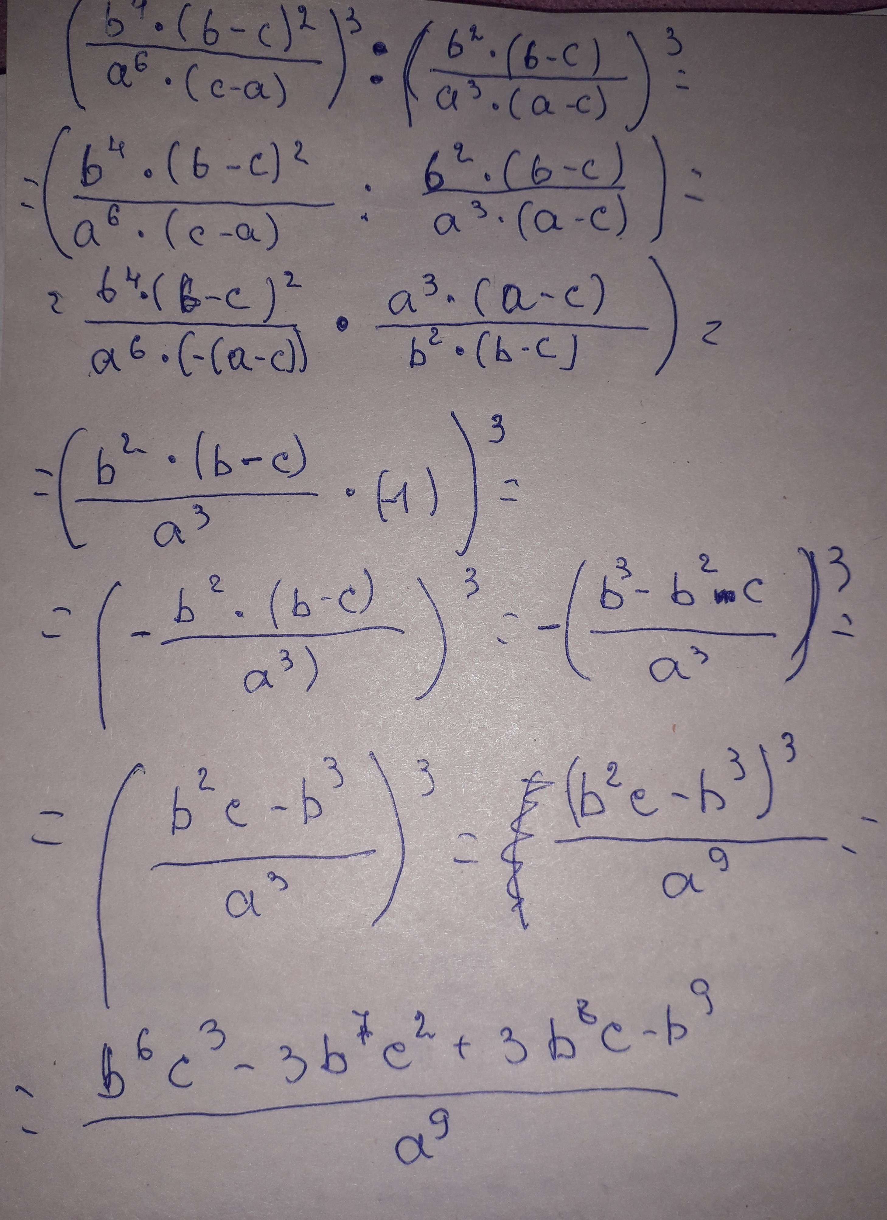
помогите с решением всех четырёх, пж

Приложения:

Ответы

Ответ дал: Tatjana359gmaicom
0

ну как то так, по другому не знаю.
Приложения:
Ответ дал: Tatjana359gmaicom
0
остальные примеры не могу скинуть. Не получается. тебе на когда надо это?
Ответ дал: FreydZig
0
ну желательно бы к вечеру
Ответ дал: Tatjana359gmaicom
0
Я постараюсь скинуть
Ответ дал: FreydZig
0
буду ждать
Вас заинтересует