• Предмет: Математика
  • Автор: Аноним
  • Вопрос задан 8 лет назад

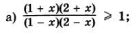
Решите неравенства
НО не нужно полностью решать, просто дайте подсказку, ибо
Я в тупике

Приложения:

Ответы

Ответ дал: Misha001192
0

 frac{(1 + x)(2 + x)}{(1 - x)(2 - x)}  geqslant 1 \   \   frac{(x + 1)(x + 2)}{(x - 1)(x - 2)}  geqslant 1 \  \  frac{(x + 1)(x + 2)}{(x - 1)(x - 2)}   - 1 geqslant 0 \  \  frac{(x + 1)(x + 2)}{(x - 1)(x - 2)}  -  frac{(x - 1)(x - 2)}{(x - 1)(x - 2)}  geqslant 0 \  \  frac{ {x}^{2}  + 3x + 2 - ( {x}^{2} - 3x + 2) }{(x - 1)(x - 2)}  geqslant 0 \  \  frac{ {x}^{2}  + 3x + 2 -  {x}^{2}  + 3x - 2}{(x - 1)(x - 2)}  geqslant 0 \  \  frac{6x}{(x - 1)(x - 2)}  geqslant 0 \  \  frac{x}{(x - 1)(x - 2)}  geqslant 0 \  \ x(x - 1)(x - 2) geqslant 0 \

Решим методом интервалов:

--------•[ 0 ]++++++•( 1 )--------•( 2 )+++++++> Х


Значит, Х принадлежит [ 0 ; 1 ) U ( 2 ; + беск. )




ОТВЕТ: [ 0 ; 1 ) U ( 2 ; + беск. )
Ответ дал: Аноним
0
https://znanija.com/task/29447295 помоги с этим, пожалуйста
Ответ дал: Аноним
0
А зачем ты поменял(-а) на x+1 итд
Ответ дал: Аноним
0
И куда 6 делось??
Ответ дал: Misha001192
0
Привел в стандартному виду. Разделил обе части на 6 , и 6 исчезает.
Ответ дал: Аноним
0
Аааа. Спасиибо
Вас заинтересует