• Предмет: Алгебра
  • Автор: Yana140505
  • Вопрос задан 8 лет назад

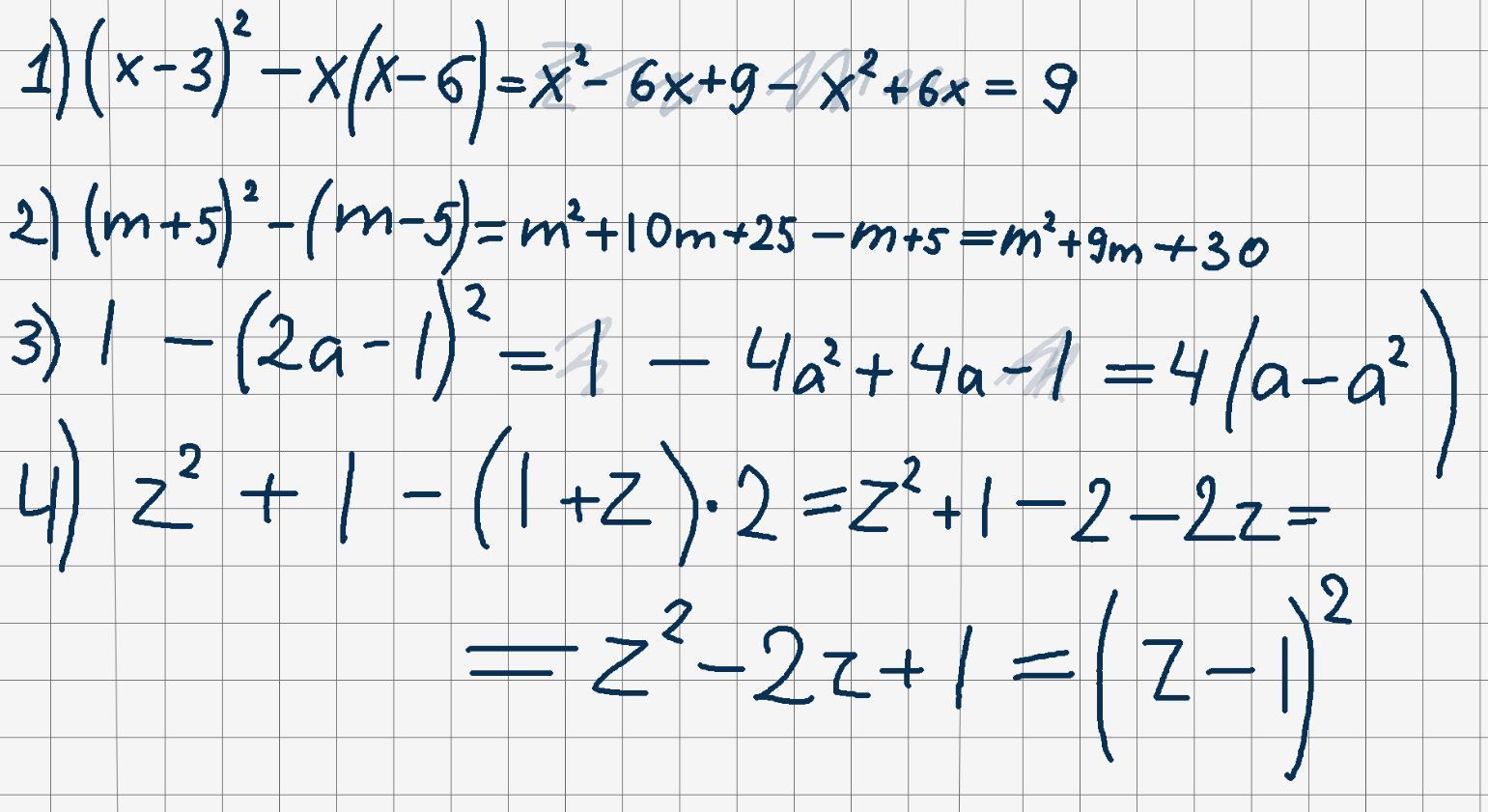
Упростить выражения:
1.(х-3)²-х(х-6)
2.(m+5)²-(m-5)
3.1-(2a-1)²
4.z²+1-(1+z)2

Ответы

Ответ дал: togyndx
0

.......................

Приложения:
Ответ дал: Yana140505
0
спасибо
Вас заинтересует