Ответы
Ответ дал:
0
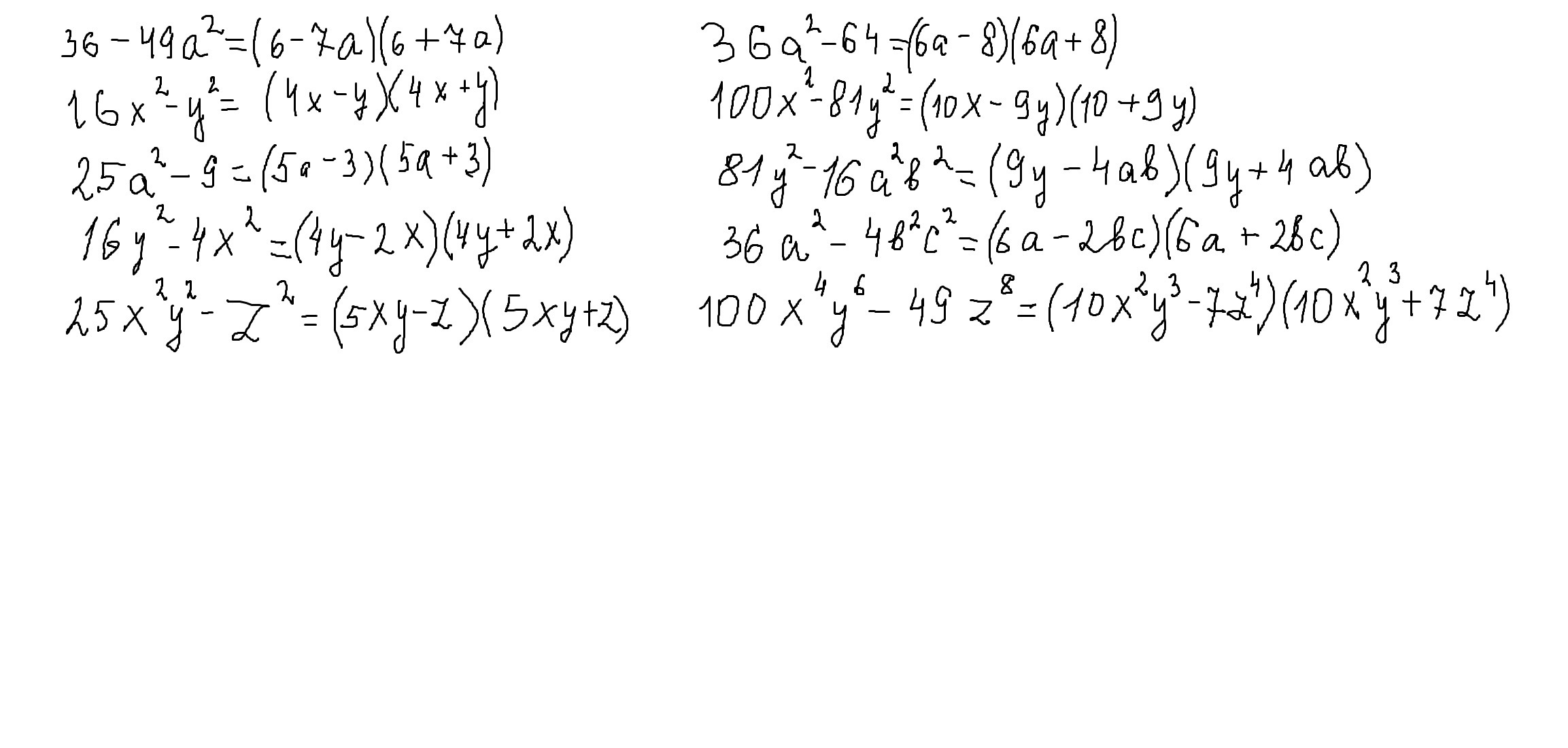
(6)^2-(7a)^2
(4x)^2-(y^)2
(5xy)^2-(z^)2
(6a)^2-(8)^2
(10x)^2-(9y)^2
(9y)^2-(4ab)^2
(10x^2y^3)^2-(7z^4)^2
(4x)^2-(y^)2
(5xy)^2-(z^)2
(6a)^2-(8)^2
(10x)^2-(9y)^2
(9y)^2-(4ab)^2
(10x^2y^3)^2-(7z^4)^2
Ответ дал:
0
где множители,это же уменьшаемое и вычитаемое?
Ответ дал:
0
применяли формулу а²-в²=(а-в)(а+в)
Приложения:
Вас заинтересует
2 года назад
2 года назад
3 года назад
3 года назад
9 лет назад
9 лет назад
10 лет назад