• Предмет: Математика
  • Автор: Void24
  • Вопрос задан 8 лет назад

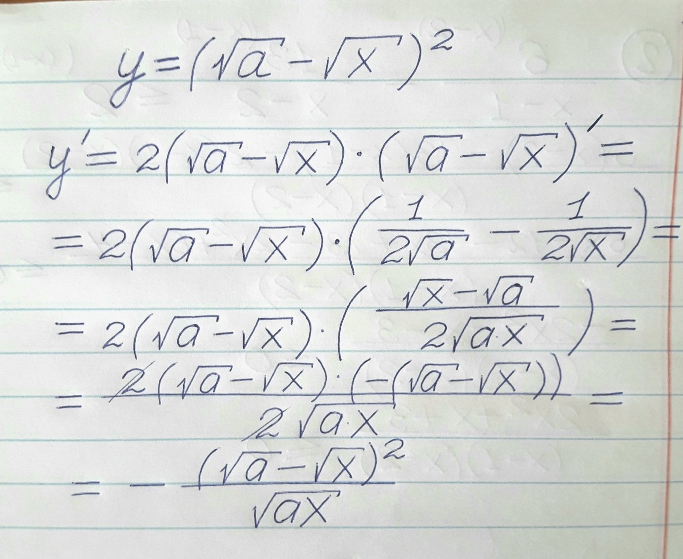
Найти по формулам производные функции:

Приложения:

Ответы

Ответ дал: Misha001192
0

● Решение приложено ●

_____________________________

Производная найдена как производная сложной функции.


Приложения:
Вас заинтересует