• Предмет: Алгебра
  • Автор: Аноним
  • Вопрос задан 11 лет назад

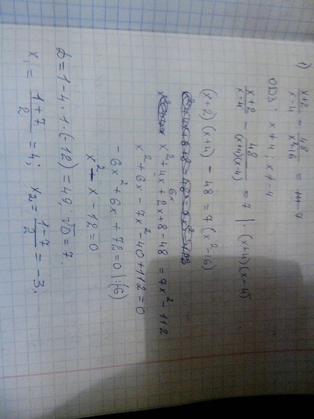
Дробные уравнения.Решать с ОДЗ...4 уравнения!

Приложения:

Ответы

Ответ дал: Аноним
0
Решение во вложениях...........
Приложения:
Ответ дал: Аноним
0
спасибо.:*
Вас заинтересует