Ответы
Ответ дал:
0
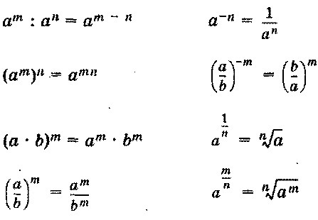
Вот держи, помой у это так
Приложения:

Вас заинтересует
2 года назад
3 года назад
9 лет назад