• Предмет: Алгебра
  • Автор: barenzi
  • Вопрос задан 8 лет назад

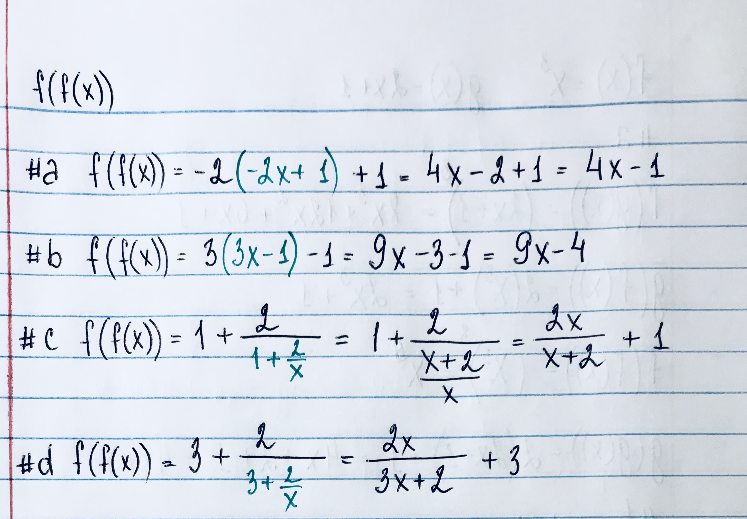
Найти сложную функцию f (f (x)), если
a) f (x) = -2 x + 1
c) f (x) = 1 + 2 /x
e) f (x) = 2 x / (3 x + 1)
b) f (x) = 3 x - 1
d) f (x) = 3 + 2 /x
f) f (x) = 5 x / (3 x + 1)

Ответы

Ответ дал: ivanspraguepaar7t
0

Ловите решение. Удачи!

Приложения:
Вас заинтересует