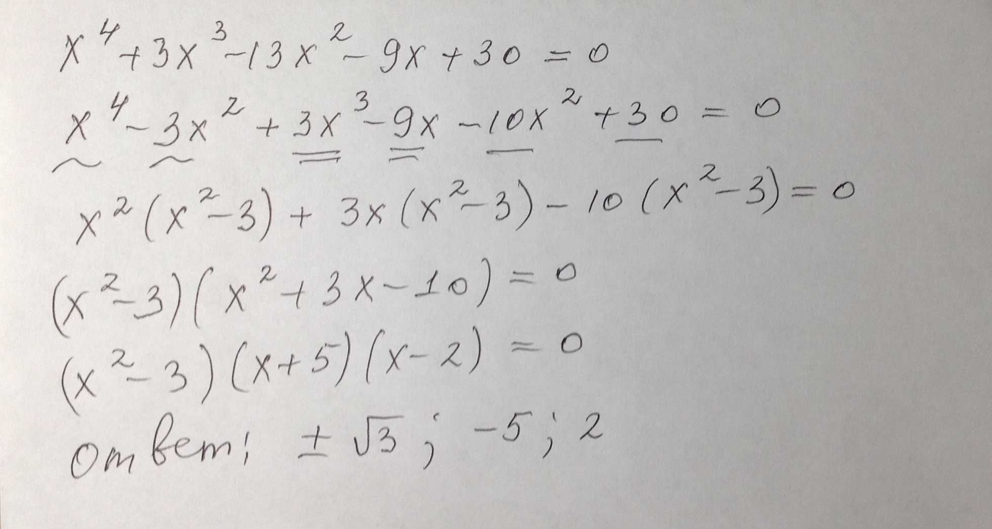
x^4+3x^3-13x^2-9x+30=0 Решение алгебраических уравнений. помогите пожалуйста. должно разделится нацело
Ответы
Ответ дал:
0
без деления многочленов ( простое решение)
Приложения:



Ответ дал:
0
добавил еще 2 варианта решения (по схеме Горнера и делением многочленов ) , но первый , конечно лучше
Вас заинтересует
2 года назад
3 года назад
9 лет назад
9 лет назад
9 лет назад