Ответы
Ответ дал:
0
● Решение приложено ●
______________________________
Приложения:

Ответ дал:
0
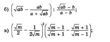
Под В) можно было сначала привести к общему знаменателю, а лишь потом возвести в квадрат )
Ответ дал:
0
а откуда 1/2 в первой скобке?
Ответ дал:
0
Возвёл скобку в квадрат, применив формулу квадрата разности: ( а - b )^2 = a^2 - 2ab + b^2
Ответ дал:
0
Помоги пожалуйста с уравнениями https://znanija.com/task/29492485
Вас заинтересует
2 года назад
2 года назад
3 года назад
3 года назад
9 лет назад
9 лет назад
9 лет назад
9 лет назад