• Предмет: Алгебра
  • Автор: Аноним
  • Вопрос задан 8 лет назад

помогите пожалуйста!!!!

Приложения:

Ответы

Ответ дал: denis110202
0

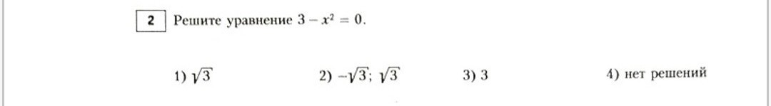
3-x2=0 -x^2=-3 x=корень 3 x= -корень 3

Ответ дал: denis110202
0
Ответ 2
Вас заинтересует