• Предмет: Алгебра
  • Автор: Аноним
  • Вопрос задан 8 лет назад

помогите пожалуйста!!!!

Приложения:

Ответы

Ответ дал: snow99
0

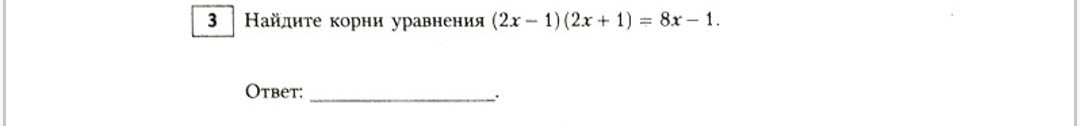
(2x - 1)(2x + 1) = 8x - 1 \ 4 {x}^{2}  - 1 = 8x - 1 \ 4 {x}^{2}  - 8x = 0 \ 4x(x - 2) = 0 \ x = 0 \ x - 2 = 0. :  :  :  :  x = 2
Ответ: 0; 2.
Вас заинтересует