• Предмет: Математика
  • Автор: strelok7865r
  • Вопрос задан 8 лет назад

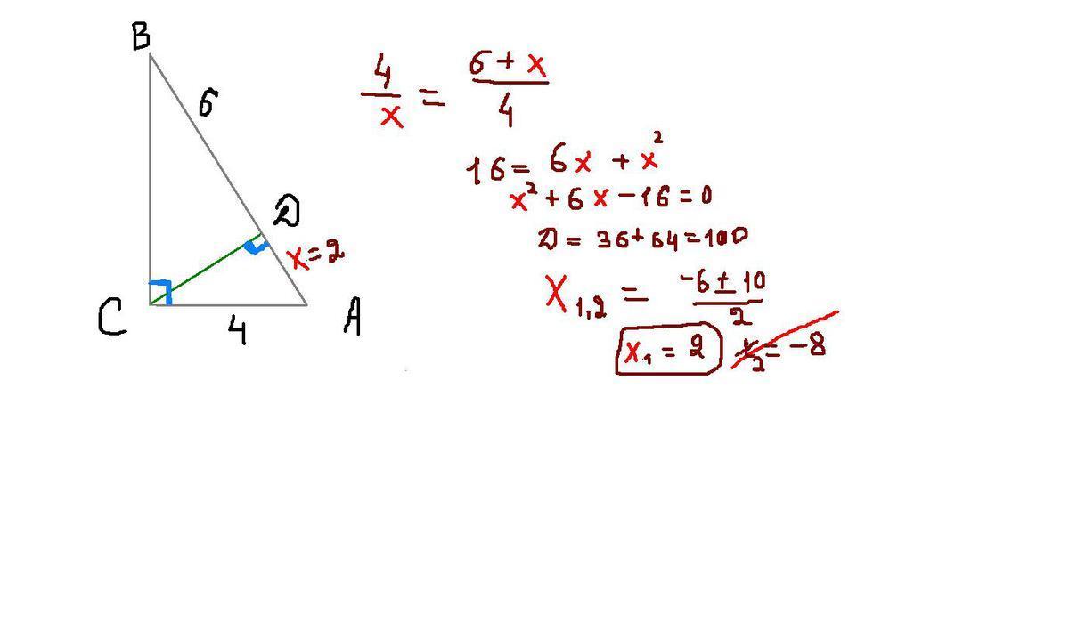
В треугольнике АВС с прямым углом С проведена высота CD. BD=6. AC=4 . Найдите AD

Ответы

Ответ дал: nyaa05
0

воть с рисунком няя..

Приложения:
Ответ дал: strelok7865r
0
а формула то какая. почему именно такой прапорцией
Ответ дал: ziiikj
0

AD=8

вот и всё очень просто


Приложения:
Вас заинтересует