• Предмет: Алгебра
  • Автор: iv2625gwcis
  • Вопрос задан 8 лет назад

помогите решить уравнение, пожалуйста
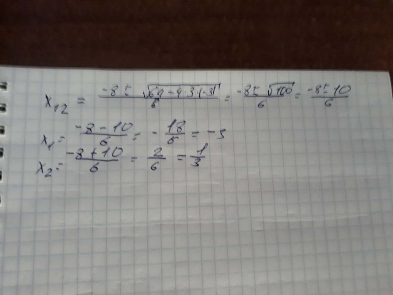
3x^2+8x-3=0

Ответы

Ответ дал: sobakazabiyaka
0

3x^2+8x-3=0\ D=b^2-4ac=8^2-4*3*(-3)=64+36=sqrt{100} =б10\ \ x_1=frac{-b+sqrt{D}}{2a} =frac{-8+10}{6} =frac{2}{6} =frac{1}{3} \ \ x_2=frac{-b-sqrt{D}}{2a} =frac{-8-10}{6} =frac{-18}{6} =-3

Ответ дал: Техномозг
0
Одна поправка: в формулах корней - не ±D, а ±√D.
Ответ дал: ФунтикКрасавчик
0

Успехов в учебе ;))))

Приложения:
Вас заинтересует