• Предмет: Математика
  • Автор: kqusbai828
  • Вопрос задан 8 лет назад

F(x)=(x^2+3x)(e^x+2lnx)


перемножить надо, помогите пж

Ответы

Ответ дал: Аноним
0
F(x)= x^2*e^x +2x^2 lnx + 3xe^x+6xlnx
Ответ дал: ДианаСемоненко
0

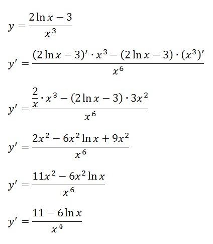
Вот один в интернете нашла другой писала.

Приложения:
Вас заинтересует