• Предмет: Алгебра
  • Автор: oksanavinitska
  • Вопрос задан 8 лет назад

Помогите пожалуйста решить! Очень срочно!

Приложения:

Ответы

Ответ дал: ruslank1460
0

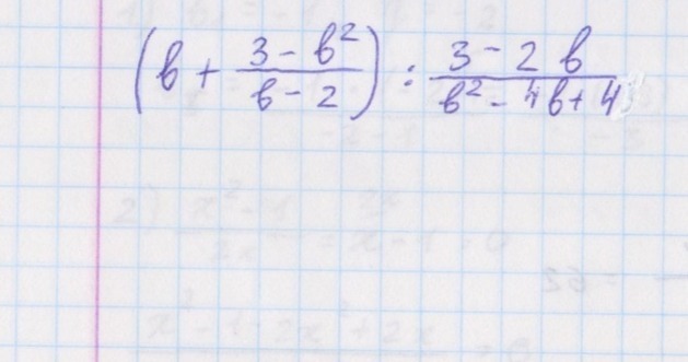
(b+frac{3-b^2}{b-2}):frac{3-2b}{b^2-4b+4}=frac{b(b-2)+3-b^2}{b-2}:frac{3-2b}{(b-2)^2}=frac{b^2-2b+3-b^2}{b-2}cdotfrac{(b-2)^2}{3-2b}=frac{3-2b}{b-2}cdotfrac{(b-2)^2}{3-2b}=b-2

Вас заинтересует