• Предмет: Математика
  • Автор: alinatyskunovapel96j
  • Вопрос задан 8 лет назад

пж упростите очень нужно

Приложения:

Ответы

Ответ дал: ZenX
0

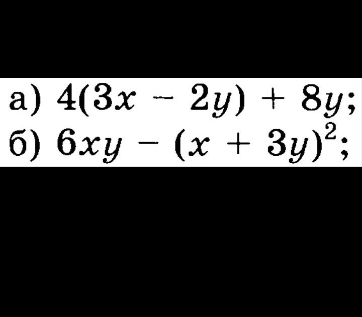
а) 12x -8y+8y=12x

b) 6xy-(x^2+6xy+9y^2)=6xy-x^2-6xy-9y^2=-x^2-9y^2

Ответ дал: anvarshegebaev
0

4 умножаем на числа в скобке 12x-8y+8y

6xy-(x+3y)во второй степени

6xy-(x2 степень+6xy+9y2 степень)

6xy-x2 степень-6xy-9y2 степень

-x2 степень-9y2 степень

Вас заинтересует