Ответы
Ответ дал:
0
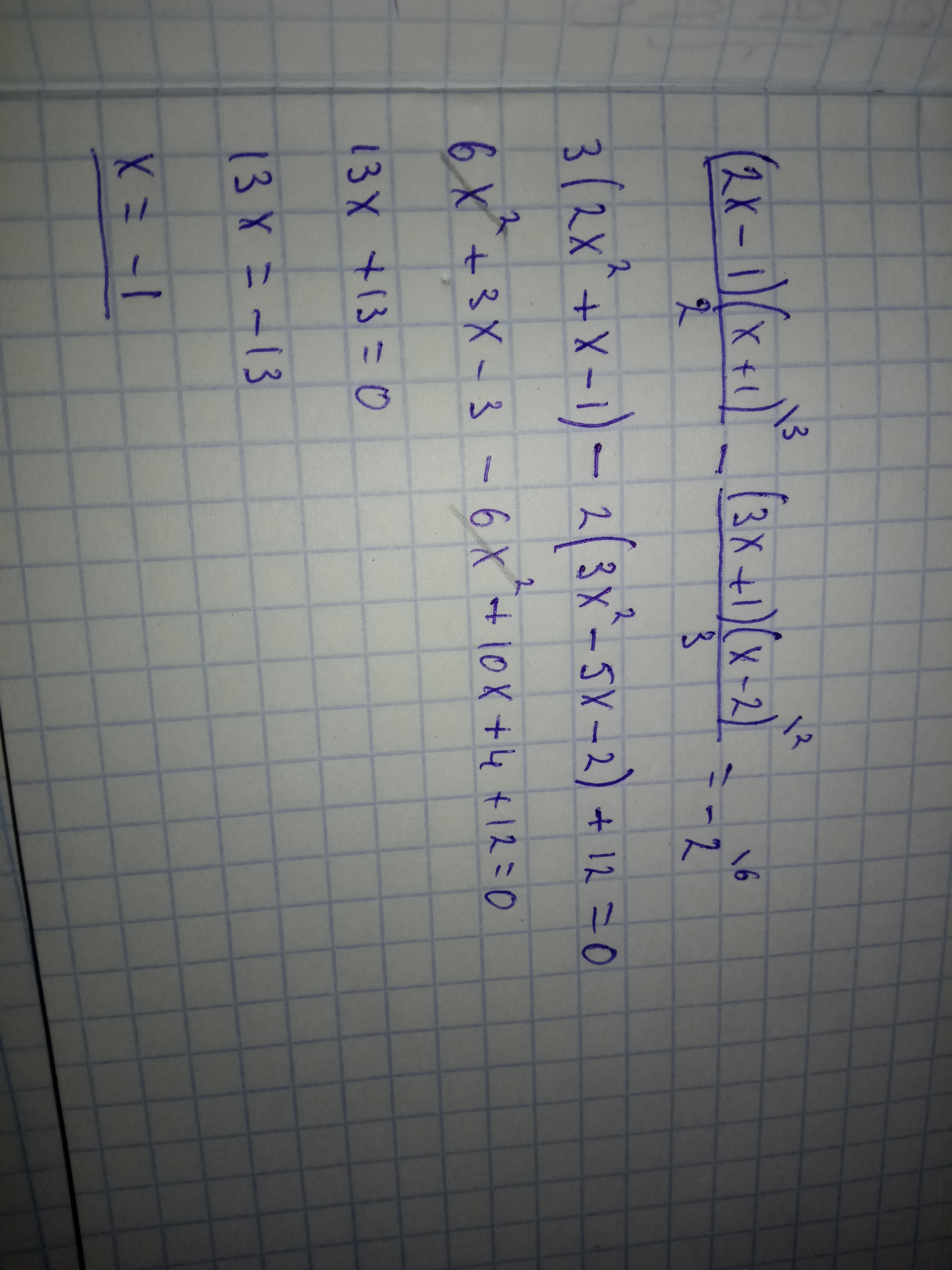
Держите решение примера
Приложения:

Ответ дал:
0
У тебя ошибка в третьей строке, там +6х должно быть, а не - 6х
Ответ дал:
0
Точно, спасибо , невнимателен(обновил решение)
Ответ дал:
0
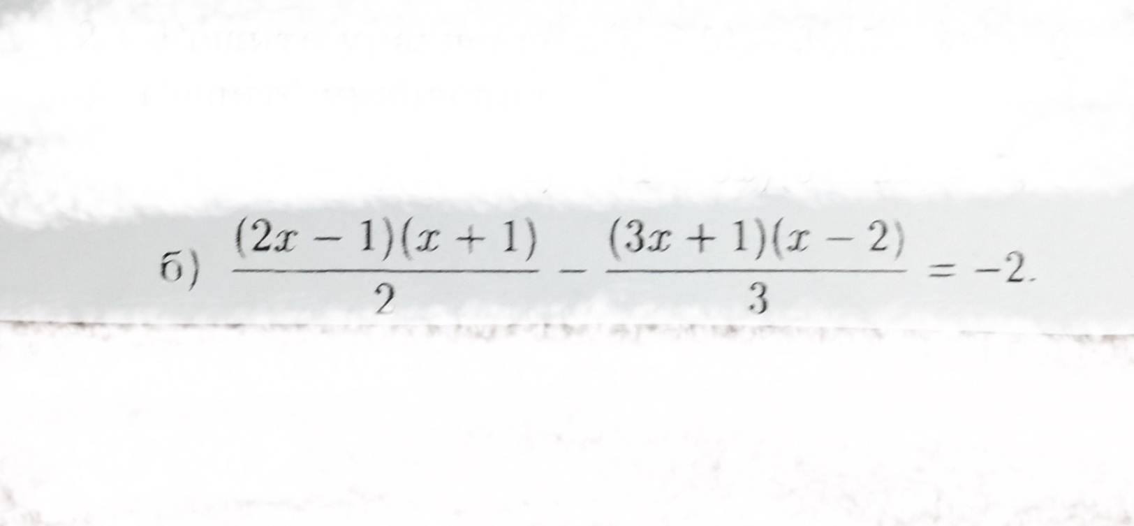
Ответ на вопрос во вложении)
Приложения:

Вас заинтересует
2 года назад
3 года назад
3 года назад
9 лет назад
9 лет назад