Ответы
Ответ дал:
0
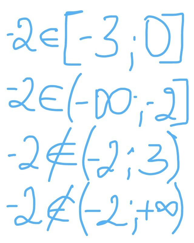
Число -2 принадлежит
[-3;0] т.к после числа -3 идет -2,-1,0
(-∞;-2] т.к Квадратная скобка означает что последняя цифра а именно -2 тоже входит в это множество
Число -2 не принадлежит остальным вариантам т.к.
В них перед -2 стоит круглая скобка,что означает что первое число,а именно -2 не входит в это множество и счет начинается с -1
[-3;0] т.к после числа -3 идет -2,-1,0
(-∞;-2] т.к Квадратная скобка означает что последняя цифра а именно -2 тоже входит в это множество
Число -2 не принадлежит остальным вариантам т.к.
В них перед -2 стоит круглая скобка,что означает что первое число,а именно -2 не входит в это множество и счет начинается с -1
Приложения:

Ответ дал:
0
Я прикрепила картинку
Ответ дал:
0
Спасибо огромное!
Вас заинтересует
2 года назад
2 года назад
3 года назад
3 года назад
9 лет назад
9 лет назад
9 лет назад