Ответы
Ответ дал:
0
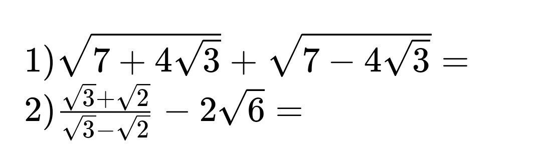
1)

Под корнем получаем полный квадрат, свернем его:

первый модуль раскрыли с плюсом, т.к. 2 + sqrt(3) > 0,
второй модуль раскрыли так же с плюсом, т.к. 2 > sqrt(3)

Ответ: 4.
2)

Ответ: 5.
Под корнем получаем полный квадрат, свернем его:
первый модуль раскрыли с плюсом, т.к. 2 + sqrt(3) > 0,
второй модуль раскрыли так же с плюсом, т.к. 2 > sqrt(3)
Ответ: 4.
2)
Ответ: 5.
Ответ дал:
0
корень
Ответ дал:
0
скажи прошу
Ответ дал:
0
√3(3)>0 ?
Ответ дал:
0
так да ?
Ответ дал:
0
√3, да.
Вас заинтересует
2 года назад
2 года назад
3 года назад
9 лет назад
9 лет назад
10 лет назад