• Предмет: Алгебра
  • Автор: dimas2713
  • Вопрос задан 11 лет назад

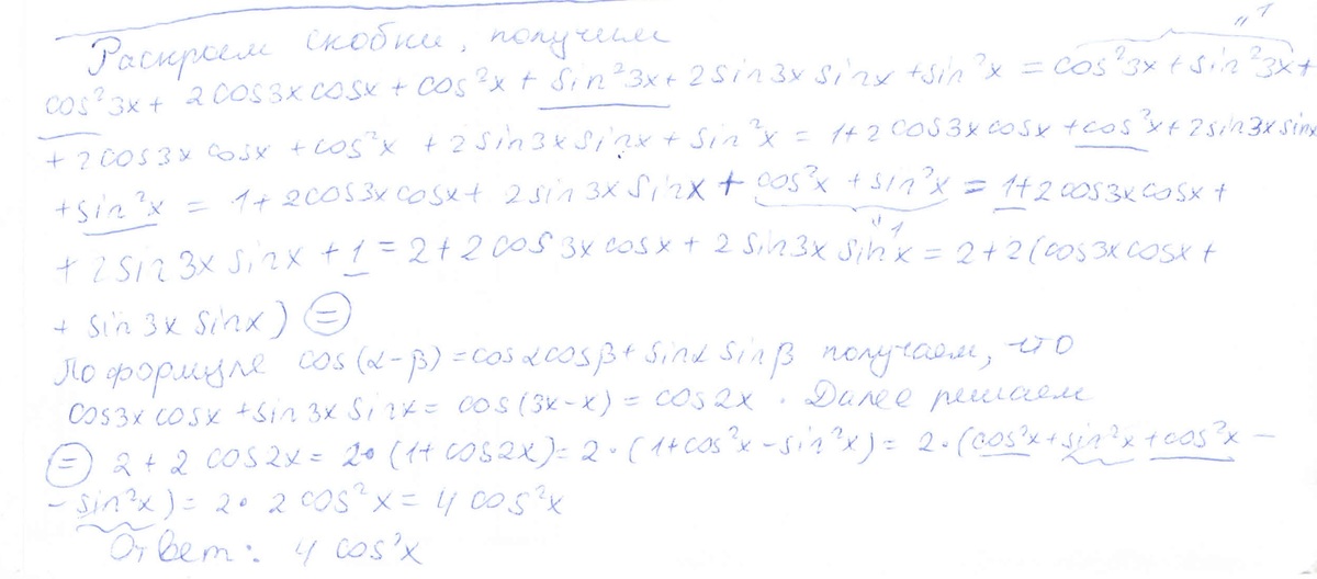
Упростите (cos3x+cosx)^2 + ( sin3x+sinx)^2

Ответы

Ответ дал: bearcab
0
Смотри во вложении. Ответ несложный
Приложения:
Вас заинтересует