Ответы
Ответ дал:
0
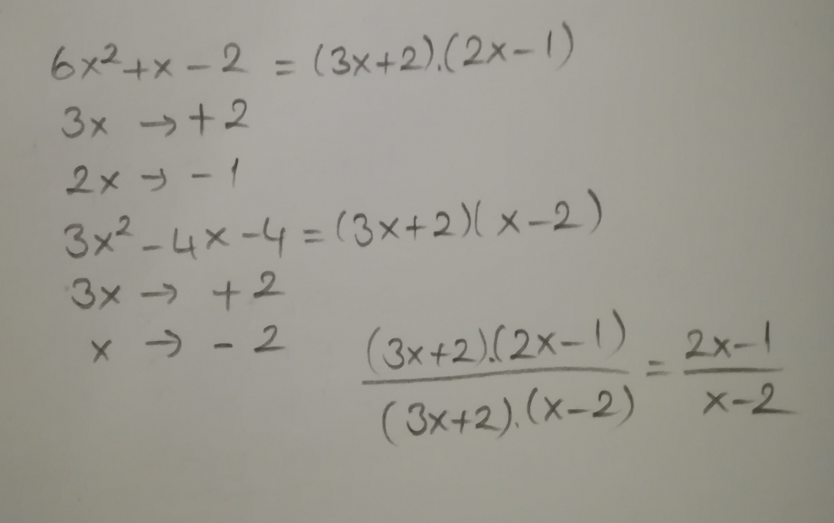
6x²+x-2
D= 1+48=49
x1=(-1+7)/12= 1/2
x2= (-1-7)/12= -2/3
3x²-4x-4
D= 16+48=64
x1= (4+8)/6= 2
x2= (4-8)/6= -2/3
(x-1/2)(x+2/3)/(x-2)/(x+2/3)= (x-1/2)/(x-2)= (2x-1)/(x-2)
Ответ дал:
0
I hope this helps you
Приложения:

Вас заинтересует
2 года назад
3 года назад
3 года назад
9 лет назад
9 лет назад
9 лет назад