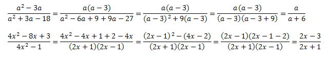
Сократите дробь.
1) _____а^2-3a_____
a^2+3a-18
2) ____4x^2-8x+3___
4x^2-1
3) ___m^2+4m-5____
m^2+7m+10
Приложения:

Ответы
Ответ дал:
0
решение примеров во вложениях
Приложения:


Ответ дал:
0
СПАСИБО
Вас заинтересует
2 года назад
8 лет назад
8 лет назад
10 лет назад
10 лет назад
10 лет назад