• Предмет: Алгебра
  • Автор: sokolin2
  • Вопрос задан 8 лет назад

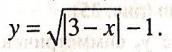
Построить график функции

Помогите пожалуйста , если можно , то подробно :3

Приложения:

Ответы

Ответ дал: Evklid61
0

////////////////////////////////////////////


Приложения:
Ответ дал: Evklid61
0
Чтобы построить график функции y=sqrt(3-x) берем х<=3.
Ответ дал: sokolin2
0
что такое x&it;
Ответ дал: sokolin2
0
без amp
Ответ дал: Evklid61
0
Берем значения иксов меньших за три, подставляем в выражение и получаем соответствующие значения у. Множество координат полученных точек дают возможность построить схематический график.
Ответ дал: sokolin2
0
поняла)
Вас заинтересует