• Предмет: Алгебра
  • Автор: Akulo4ka
  • Вопрос задан 8 лет назад

Пожалуйста, помогите, срочно, дам 50 баллов!
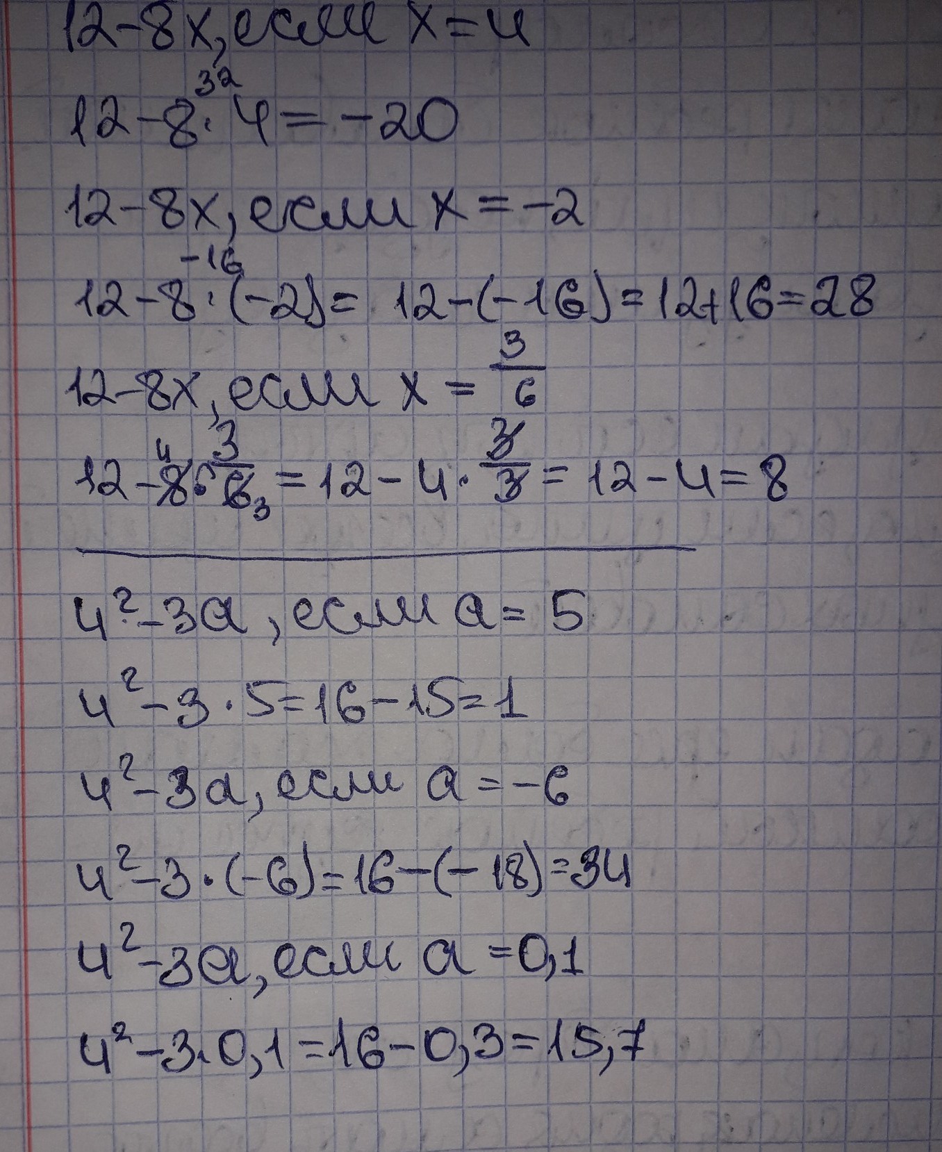
1) 12 - 8x , если x = 4; -2; 0; 3/6 (дробь)
2) 4² - 3a , если a= 5; -6; 0,1

Ответы

Ответ дал: kamila7514
0
помогла ррррррррррррр
Приложения:
Ответ дал: Akulo4ka
0
боже, спасибо тебе огромное, рада, что хоть кто-то отозвался на мой зов помощи, ты не представляешь, как ты мне помогла! <3
Ответ дал: kamila7514
0
незачто
Вас заинтересует