Ответы
Ответ дал:
0
ну а тут просто текст дабы привысить 20 символов
Приложения:

Ответ дал:
0
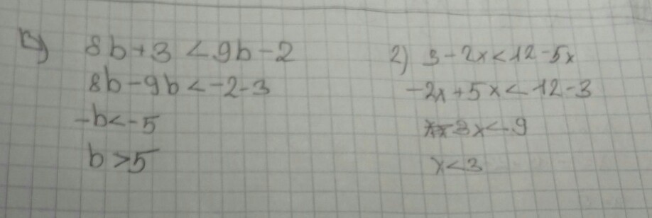
8b+3<9b-2 8b-9b<-2-3 -b<-5 b<5 3-2x<12-5x -2x+5x<12-3 3x<9 x<3
Приложения:

Вас заинтересует
2 года назад
2 года назад
3 года назад
9 лет назад
9 лет назад
9 лет назад
9 лет назад