• Предмет: Алгебра
  • Автор: myrmyr13
  • Вопрос задан 8 лет назад

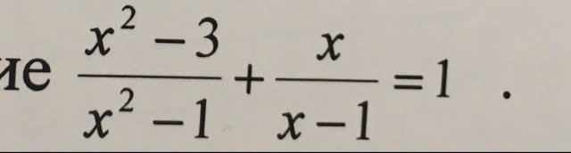
Решите уравнение ( алгебра)

Приложения:

Ответы

Ответ дал: minino8a
0

Смотри фото 111111122

Приложения:
Вас заинтересует