• Предмет: Математика
  • Автор: rohish
  • Вопрос задан 8 лет назад

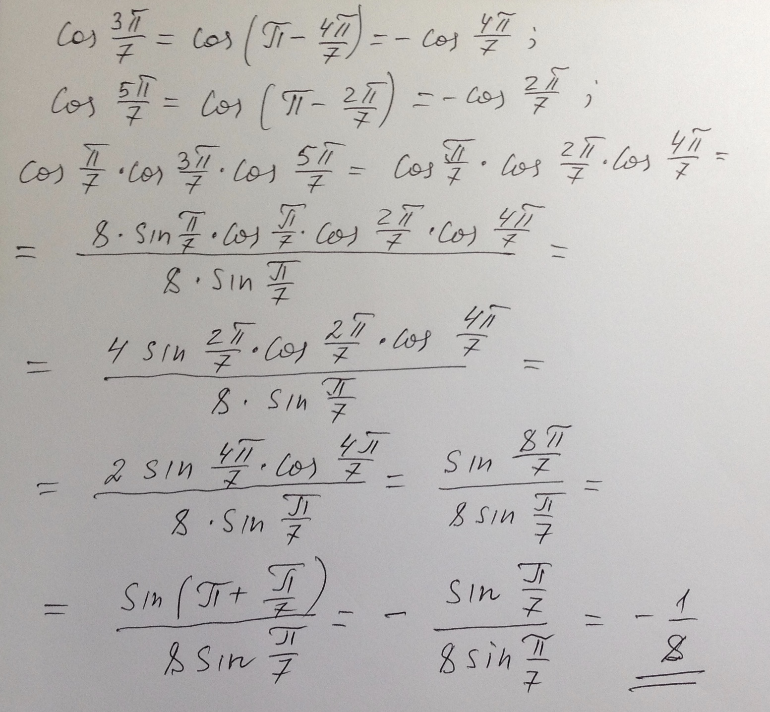
cosп/7*cos3п/7*cos5п/7

Ответы

Ответ дал: antonovm
0

..............................................................................................................

Приложения:
Вас заинтересует