• Предмет: Алгебра
  • Автор: СлаваSLOVO
  • Вопрос задан 8 лет назад

ПОМОГИТЕ ПРОШУ!!!!!!

Решите неравенство:

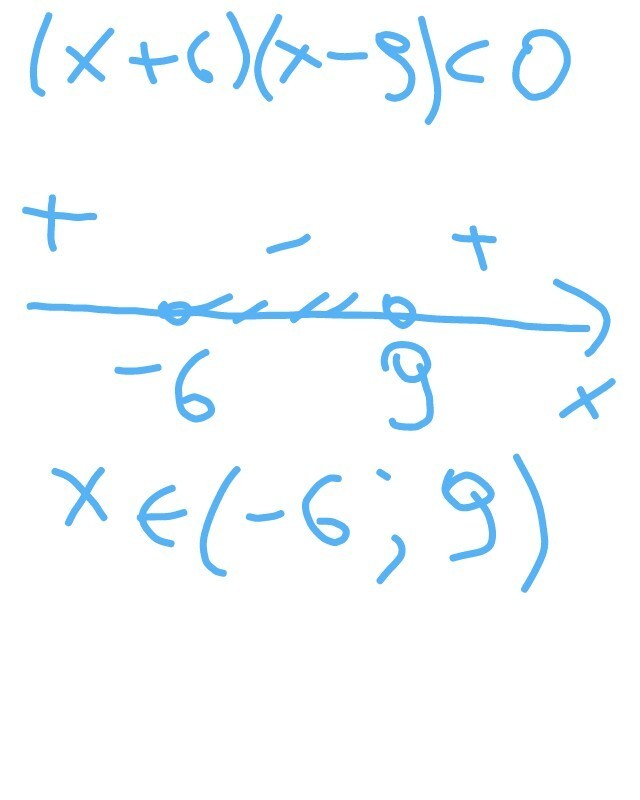
1)(х+6)(х-9)<0

2)х-2х+11<0

3)х-3х+4 больше или равно 0

4)х+2х+8 меньше или равно 0

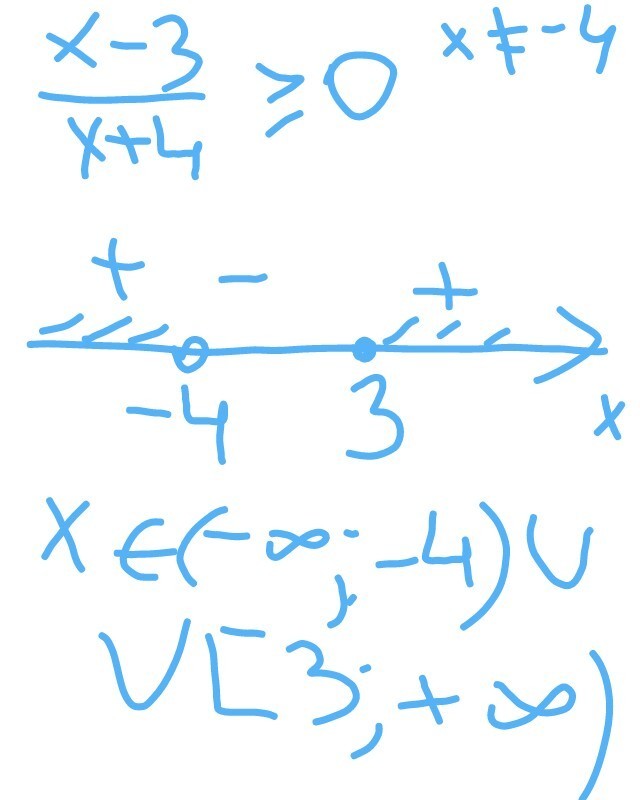
-Это дробь.

Ответы

Ответ дал: snow99
0
Решение во вложениях.
Приложения:
Ответ дал: СлаваSLOVO
0
А в этим примерах решение не нужно?
Ответ дал: snow99
0
Это и есть решение, метод интервалов
Ответ дал: СлаваSLOVO
0
Спасибо тогда:)Удачи вам!
Вас заинтересует