• Предмет: Алгебра
  • Автор: Аноним
  • Вопрос задан 8 лет назад

Помогите пожалуйста мне с примерами.

Приложения:

Ответы

Ответ дал: olesi06
0
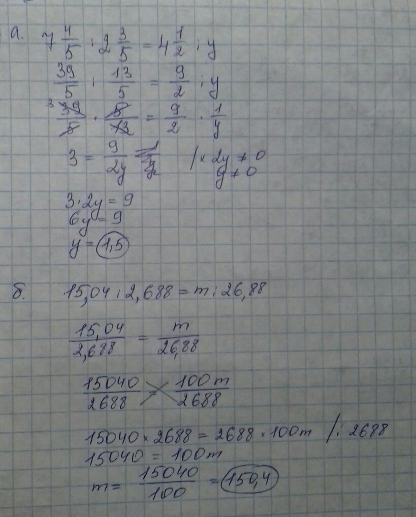
Решение смотри на фото.
Приложения:
Ответ дал: Аноним
0
Спасибо я вот не понимаю как вы так быстро это решаете
Ответ дал: olesi06
0
Годы тренировки и немного хитрости)
Ответ дал: Аноним
0
Молодец
Вас заинтересует