• Предмет: Алгебра
  • Автор: Novichok12344
  • Вопрос задан 8 лет назад

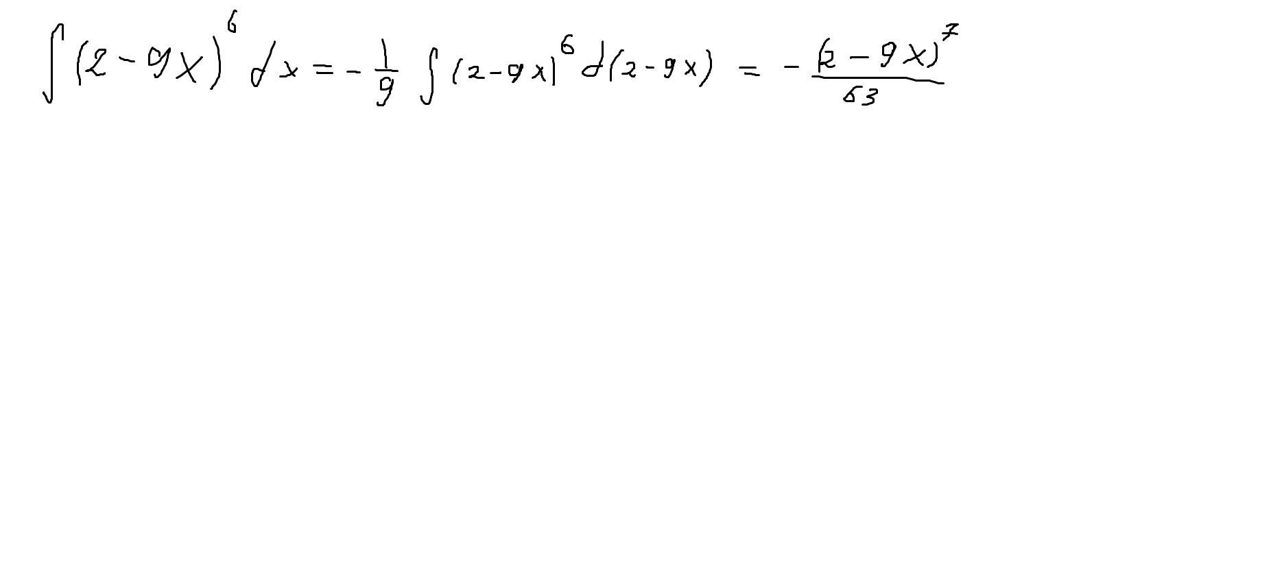
∫(2-9x)^6dx как решать ?

Ответы

Ответ дал: ctvty98
0

Интеграл решается подстановкой под знак дифференциала.

При подстановке необходимо компенсировать её умножением интеграла на (-1/9)

Приложения:
Вас заинтересует