Ответы
Ответ дал:
0
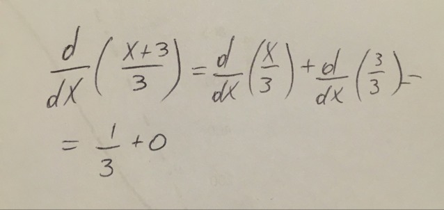
Производная от х по х - это 1, а производная константы - 0, также константу можно выносить за знак производной
Приложения:

Ответ дал:
0
Приложения:

Вас заинтересует
2 года назад
2 года назад
3 года назад
9 лет назад
9 лет назад
9 лет назад
9 лет назад