• Предмет: Математика
  • Автор: kakaha46
  • Вопрос задан 8 лет назад

Пожалуйста помогите решить лучше в виде фото для 5 классов помогите

Приложения:

Ответы

Ответ дал: VeNoX
0

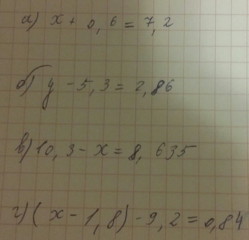
а)

x+0,6=7,2

х=7,2-0,6

х = 6,6

в) у-5,3=2,86

у = 5,6+2,86

у = 8,46

б)

10,3-х=8,635

х=10,3-8,635

х=1,665

г)

(х-1,8)-9,2=0,84


Ответ дал: VeNoX
0
поверь в ругу лиц моего общения я уже старый
Ответ дал: kakaha46
0
хаха очень смешно 12 но скоро 13
Ответ дал: kakaha46
0
но я не хочу стареть как ты
Ответ дал: VeNoX
0
удачи тебе
Ответ дал: kakaha46
0
Спасибо
Вас заинтересует