• Предмет: Физика
  • Автор: dims12
  • Вопрос задан 8 лет назад

СРОЧНО! МНОГО БАЛЛОВ!
Тело свободно падает с высоты 80м. Найти пути за первую секунду и последнюю секунду движения.

Ответы

Ответ дал: melblar16
0

Посмотри, может, помогу чем - нибудь.

Приложения:
Ответ дал: fatt52
0

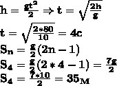
h=80 м   s1=?    s2=?

===

s1=g*t1²/2=10*1/2=5 м   (за первую секунду)

Время падения

t=√(2*h/g)=√(2*80/10)=4 c

За последнюю секунду

s2=h-g*(t-1)/2=80 - 10*(4-1)²/2=35 м

================================

Приложения:
Вас заинтересует