Ответы
Ответ дал:
0
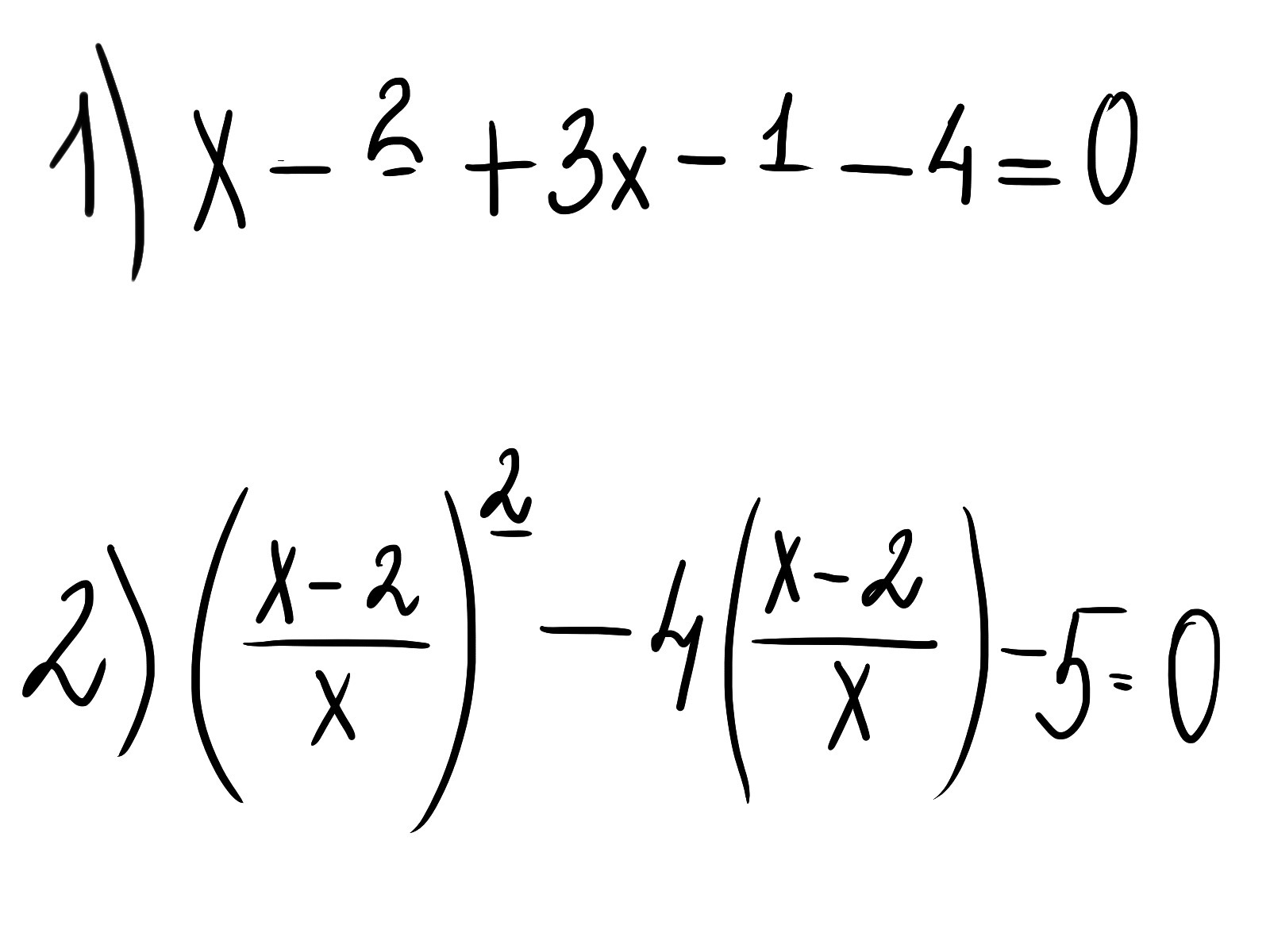
1) не могу решить, может не правильно.
2) ответ: х¹=-0.5; х²=1 ( если что 1 и 2 с верху надо с низу написать просто по другому не могу).
2) ответ: х¹=-0.5; х²=1 ( если что 1 и 2 с верху надо с низу написать просто по другому не могу).
Ответ дал:
0
1)X-2/1+3x-1/1-4=0 2)(11-2/1)-4(2-2/1)=5×0
Вас заинтересует
2 года назад
2 года назад
3 года назад
3 года назад
9 лет назад
9 лет назад