Ответы
Ответ дал:
0
Оно? Или не оно? Что тебе необходимо?
Приложения:

Ответ дал:
0
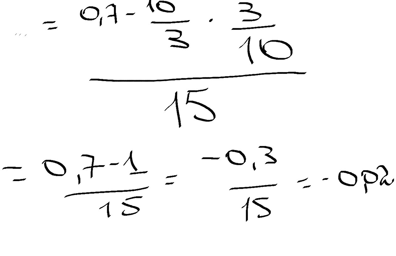
Вот ответ, 100% в нем уверена
Приложения:

Вас заинтересует
2 года назад
3 года назад
3 года назад
9 лет назад