Ответы
Ответ дал:
0
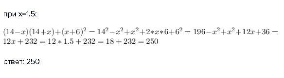
при х=1.5:
ответ: 250
Приложения:

Вас заинтересует
2 года назад
2 года назад
3 года назад
9 лет назад
9 лет назад
9 лет назад