• Предмет: Математика
  • Автор: dim4775
  • Вопрос задан 8 лет назад

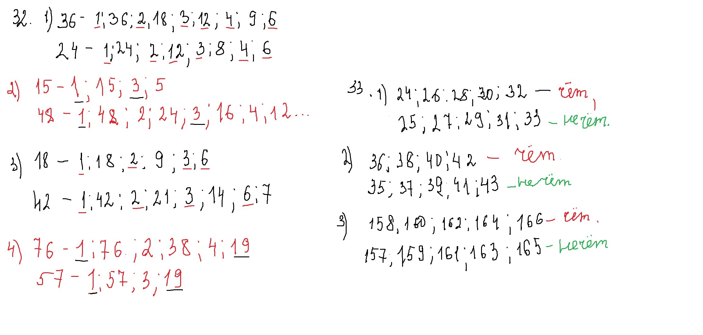
32,33 пожалуйста 15 баллов даю

Приложения:

Ответы

Ответ дал: parus77
0

решение смотри внизу

Приложения:
Ответ дал: dim4775
0
скинь сайт где взял?
Ответ дал: dim4775
0
пж
Ответ дал: parus77
0
я сама делаю, а не списываю .
Вас заинтересует