Ответы
Ответ дал:
0
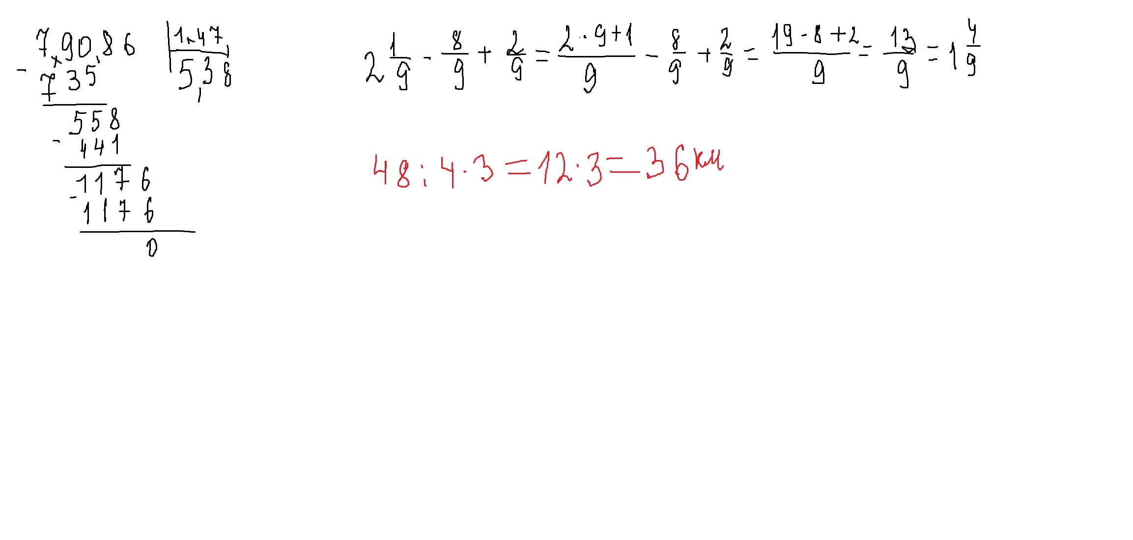
решение заданий смотри внизу
Приложения:

Вас заинтересует
3 года назад
3 года назад
9 лет назад
9 лет назад