• Предмет: Математика
  • Автор: stangatarova13mailru
  • Вопрос задан 8 лет назад

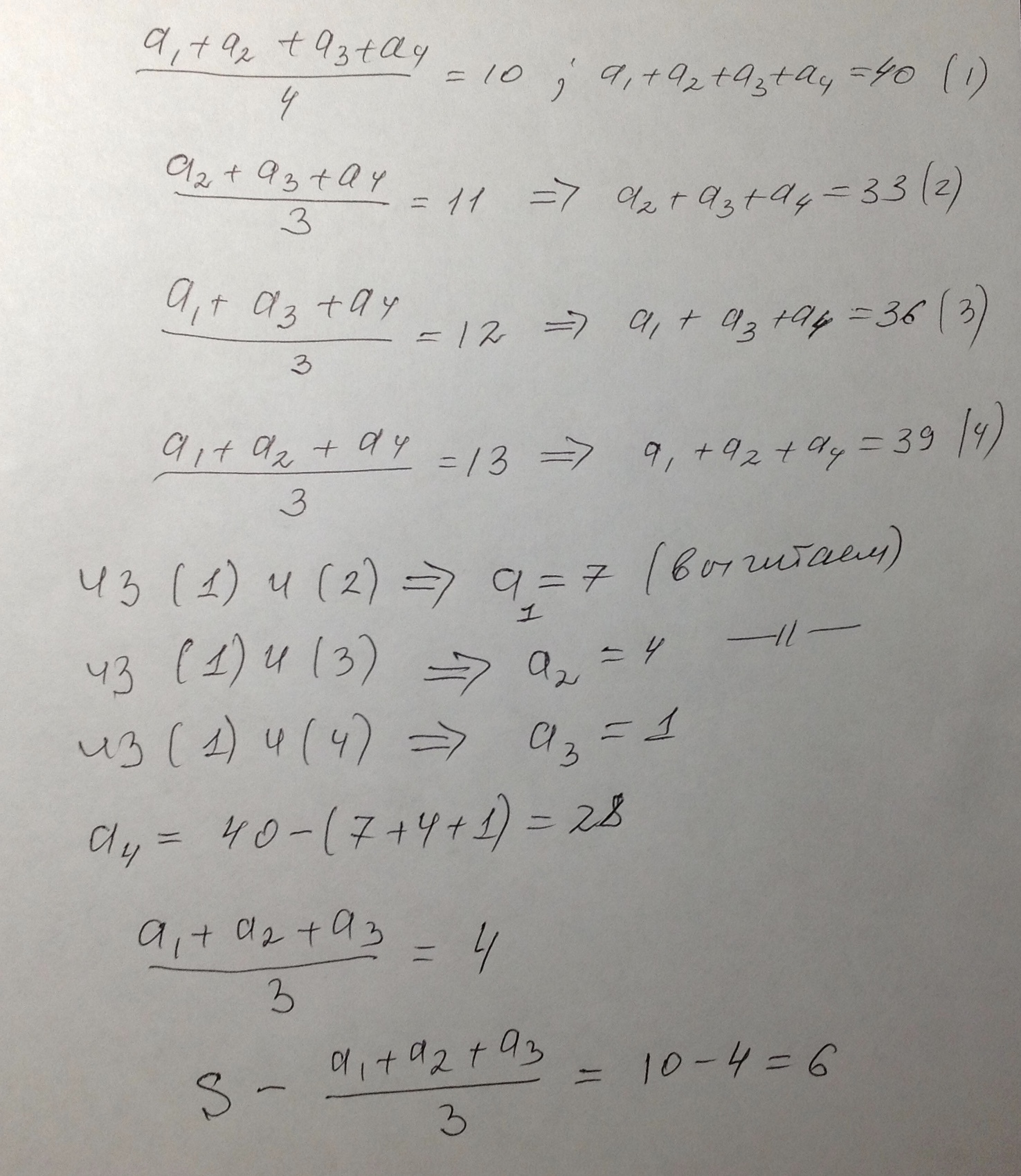
УМОЛЯЮ ОТВЕТЬТЕ 5 РАЗ СЮДА ПИШУсредне арифметическое S 4 чисел равно 10. Если вычернкнуть одно из этих чисел, то средне арифметическое оставшихся 3 увеличится на 1, если вместо этого вычернкнуть другое число, ьо средне арифметическое оставшихся чисел увеличится на 2, а если вычернкнуть третье число, то средне арифметическое увеличится на 3. Чему можеть равна разность S и средне арифметического трех чисел, полученных прр вычеркивании 4 числа?

Ответы

Ответ дал: antonovm
0

может быть я неправильно понял условие , но мне задача показалась устной

Приложения:
Вас заинтересует