• Предмет: Алгебра
  • Автор: 20уля13
  • Вопрос задан 8 лет назад

Решите пожалуйста,заранее спасибо

Приложения:

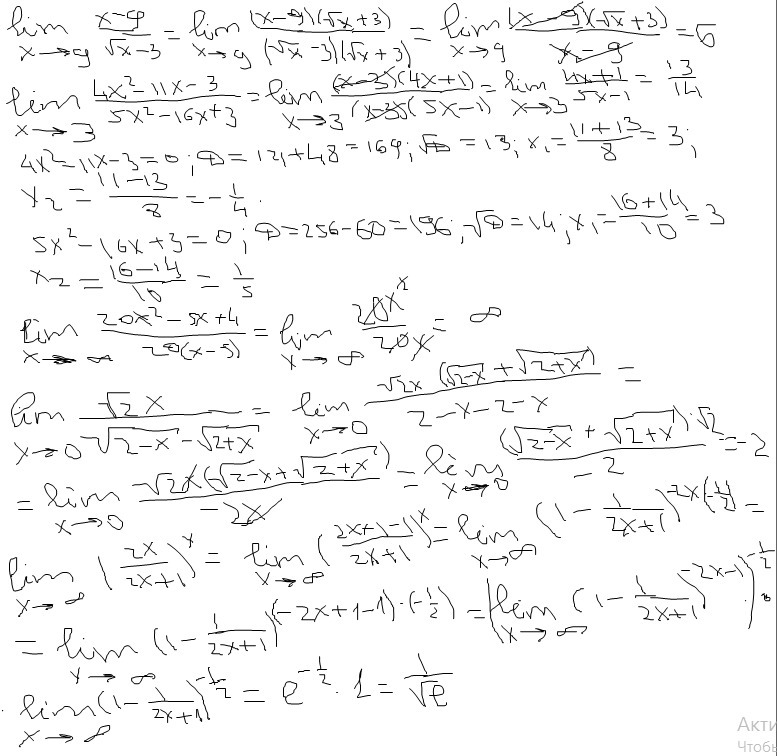
Ответы

Ответ дал: ruslank1460
0

решение задания во вложении

Приложения:
Вас заинтересует