Ответы
Ответ дал:
0
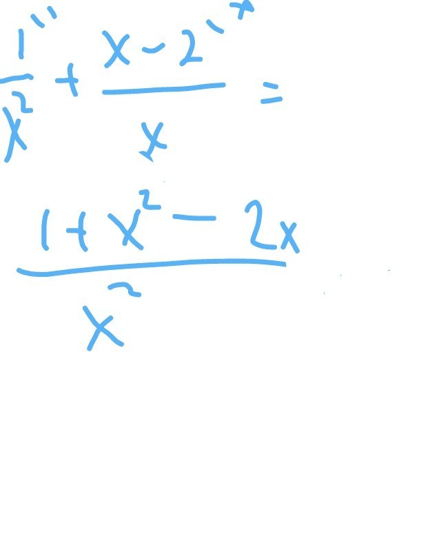
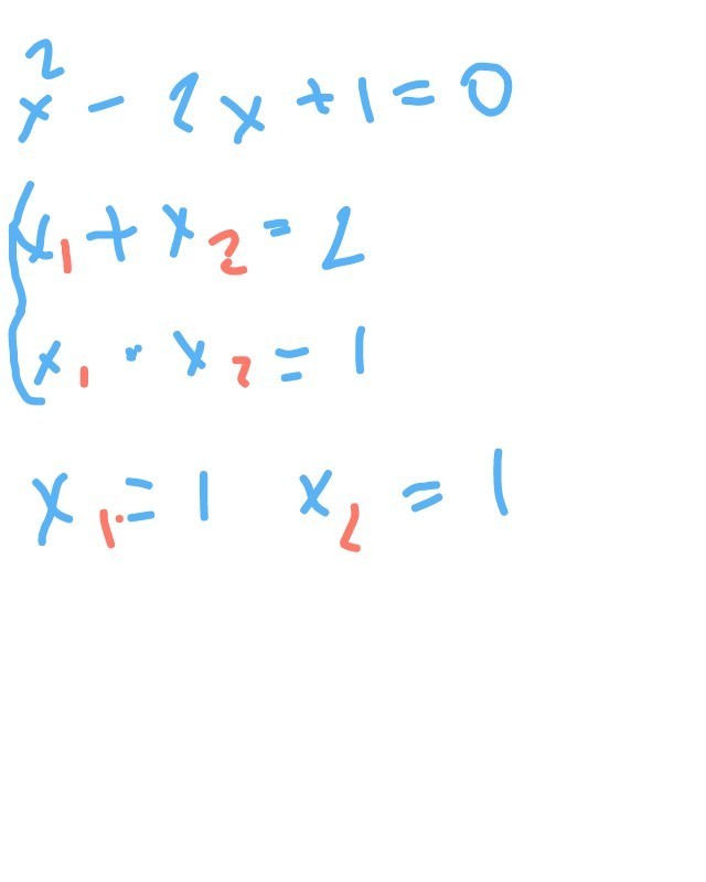
2 картинка - это я уже решила уравнение и нашла корни, не знаю надо тебе это писать или нет .
Приложения:


Вас заинтересует
2 года назад
2 года назад
3 года назад
9 лет назад
9 лет назад
9 лет назад
9 лет назад