• Предмет: Алгебра
  • Автор: worlder
  • Вопрос задан 8 лет назад

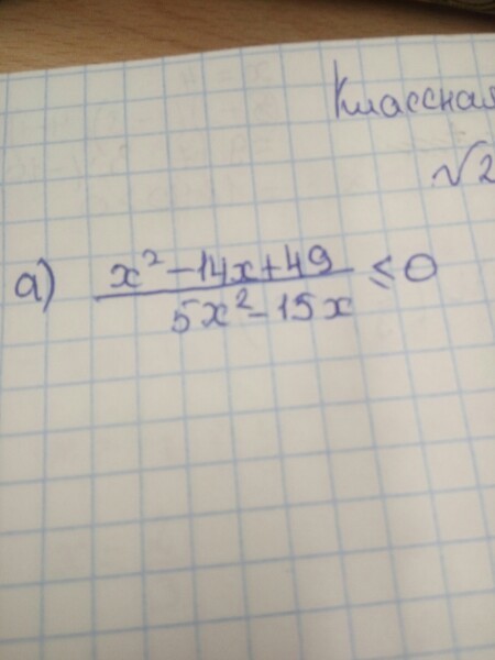
как решать???????????????

Приложения:

Ответы

Ответ дал: Universalka
0

frac{x^{2}-14x+49 }{5x^{2}-15x } leq0\\frac{(x-7)^{2} }{5x(x-3)}leq0\\x(x-3)(x-7)^{2}leq0

        +                         -                         -                            +

__________[0]__________[3]___________[7]_____________

x ∈ [0 ; 7]

                 

Вас заинтересует