Ответы
Ответ дал:
0
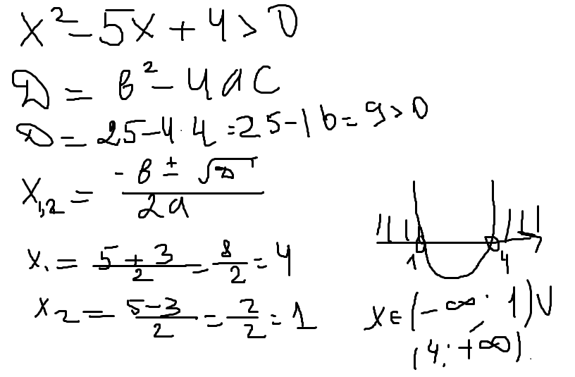
Надеюсь понятно) графиком квадратной функции является парабола..
Если х>0,то ответ смотрят НАД осью,а если х<0,то ПОД осью.
В этой задаче,х>0 значит ответ находится над осью
Если х>0,то ответ смотрят НАД осью,а если х<0,то ПОД осью.
В этой задаче,х>0 значит ответ находится над осью
Приложения:
Вас заинтересует
3 года назад
8 лет назад
8 лет назад
11 лет назад
11 лет назад