• Предмет: Математика
  • Автор: кек989
  • Вопрос задан 8 лет назад

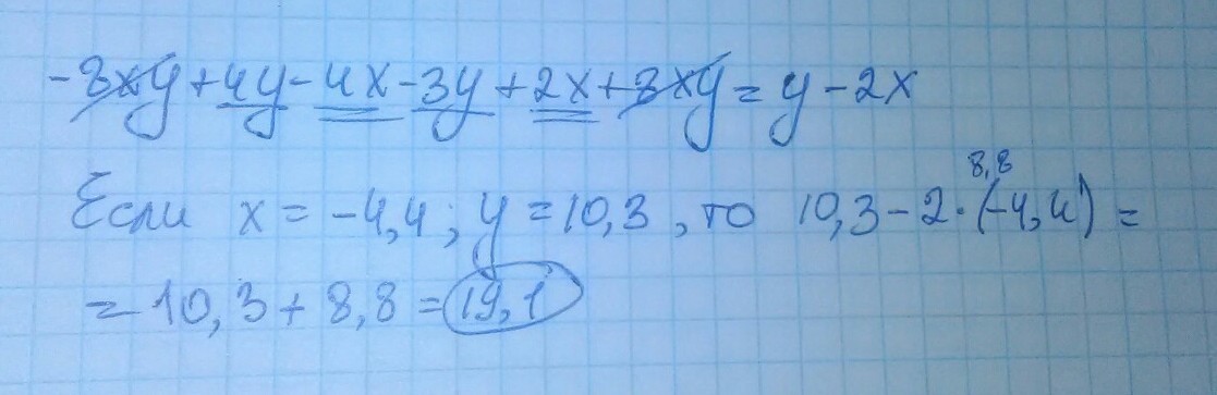
найдите значение выражения -8ху+4у-4х-3у+2х+8 х у при х=-4,4 у=10,3
срочнааа

Ответы

Ответ дал: sadgirI
0
Решение смотри на фото.
Приложения:
Вас заинтересует