• Предмет: Математика
  • Автор: oliacret
  • Вопрос задан 8 лет назад

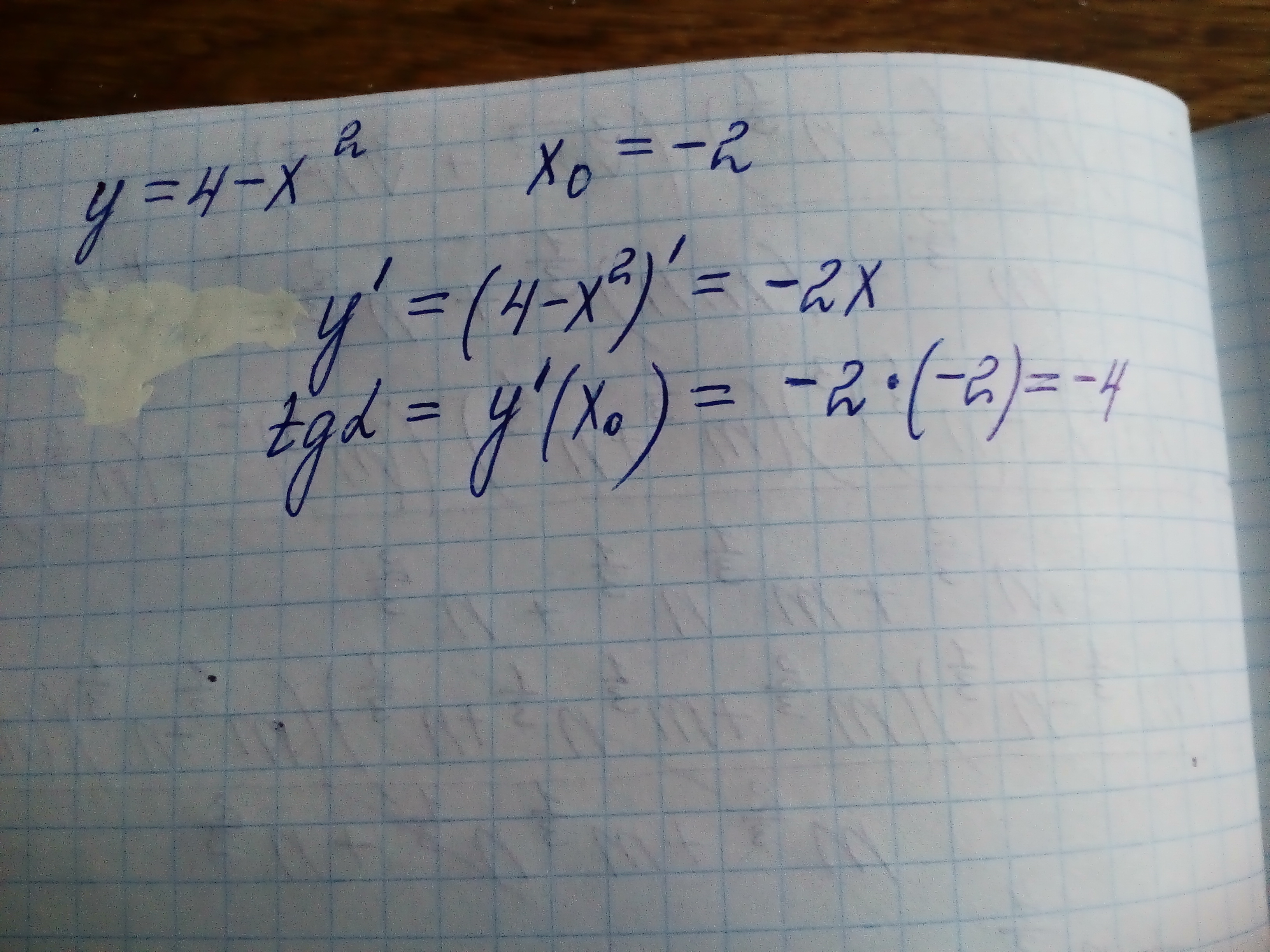
найдите тангенс угла наклона касательной, проведенной к графику функции у=4-x² в его точке с абсциссой х0=-2
очень срочно нужно помогите

Ответы

Ответ дал: m11m
0

!!!!!!!!!!!!!!!!!!!!!!

Приложения:
Вас заинтересует